Ответы
Ответ дал:
0
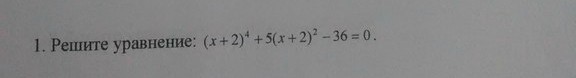
(х+2)²=у
у²+5у-36=0
у₁=-5+√(25+144) = -5+13 = 4
2 2
у₂=-5-√(25+144) = -5-13 =-9
2 2
х²+4х+4=4
х(х+4)=0
х₁=0
х₂+4=0
х₂=-4
х²+4х+4=-9
х²+4х+13=0
х₃=4+√(16-42) решений нет, D<0
2
уравнение имеет два корня х₁=0 и х₂=-4
у²+5у-36=0
у₁=-5+√(25+144) = -5+13 = 4
2 2
у₂=-5-√(25+144) = -5-13 =-9
2 2
х²+4х+4=4
х(х+4)=0
х₁=0
х₂+4=0
х₂=-4
х²+4х+4=-9
х²+4х+13=0
х₃=4+√(16-42) решений нет, D<0
2
уравнение имеет два корня х₁=0 и х₂=-4
Вас заинтересует
2 года назад
2 года назад
8 лет назад
8 лет назад
10 лет назад
10 лет назад
11 лет назад