Радиус окружности, вписанной в равносторонний треугольник на 10 см меньше, чем высота треугольника.Найдите высоту треугольника.
Ответы
Ответ дал:
0
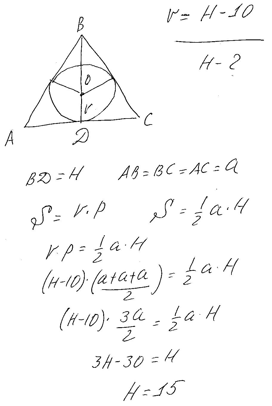
Пусть сторона треугольника равна а. (смотри рисунок). Площадь треугольника может быть выражена через радиус вписанной окружности, где р-полупериметр или чарез произведение основания и высоты Н. Приравниваем и получим Н=15.
Приложения:

Ответ дал:
0
15 сантиметров. 10 см - основание треугольника, 5 см - катет напотив угла 30 градусов. 10+5=15
Приложения:

Вас заинтересует
2 года назад
2 года назад
8 лет назад
8 лет назад
10 лет назад