Ответы
Ответ дал:
0
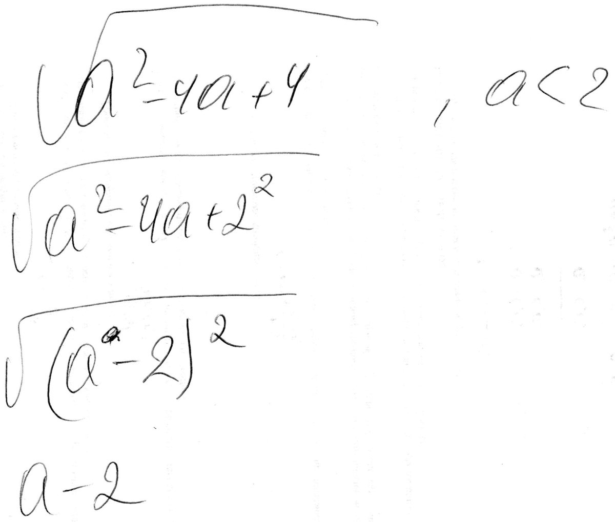
Задание не совсем понятное...Ну я решил, так как понял я)
Приложения:

Ответ дал:
0
:D спасибо
Вас заинтересует
2 года назад
7 лет назад
7 лет назад
10 лет назад
10 лет назад