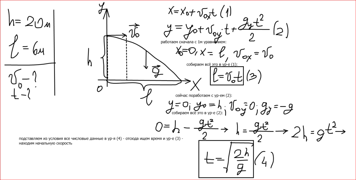
Мальчик бросил горизонтально мяч из окна, находящегося на высоте 20 м. Сколько времени летел мяч до земли и с какой скоростью он был брошен, если он упал на расстоянии 6 м от основания дома?
Ответы
Ответ дал:
0
решение представлено на фото
Приложения:
Вас заинтересует
3 года назад
8 лет назад
8 лет назад
11 лет назад
11 лет назад
11 лет назад
11 лет назад