• Предмет: Алгебра
  • Автор: Аноним
  • Вопрос задан 11 лет назад

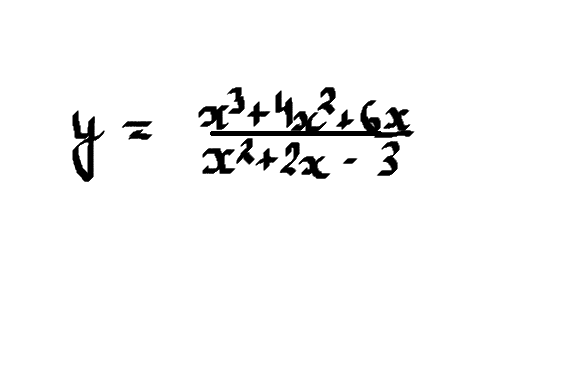
Используя метод интервалов,найдите промежутки знакопостоянства функции:

Приложения:

Ответы

Ответ дал: Whut
0

x^2+2x-3=0

D=1+3=4

x1=-1-2=-3

x2=-1+2=1

x^2+2x-3=(x+3)(x-1)

1) x+3≠0 2)x-1≠0

 

x^3+4x^2+6x=0

x(x^2+4x+6)=0

x=0

x^2+4x+6=0

D=4-6=-2;

строим прямую, на которой отмечаем точки 0, -3, 1, где -3 и 1 выколоты

берем любое число от + бесконечности до 1 подставляем в ур-е

промежуток положительный

так же делаем с другими 3мя промежутками.

ответ: (-беск; -3) отриц

(-3; 0] полож

(0; -1) отриц

(-1; +беск) полож

 

Вас заинтересует