• Предмет: Математика
  • Автор: PavelMarceloff
  • Вопрос задан 10 лет назад

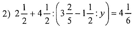
Решите пример 6 класс...(По действиям).

Приложения:

Ответы

Ответ дал: lolo4884
0
1)2 1/2+4 1/2=7  2)7:(3 2/5-1 1/2:у)=4 1/6  3)3 2/5-1 1/2:у=7:4 1/6  4)3 2/5-1 1/2:у=1 17/ 25   5)   1 1/2:у=3 2/5-1 17/ 25= 1 13/25  6)у=1 1/2:1 13/25  у=75/76
Вас заинтересует