• Предмет: Математика
  • Автор: Berkut123
  • Вопрос задан 10 лет назад

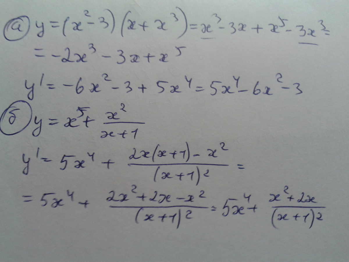
Найдите производную функции: а) (x^2-3)(x+x^3); б) x^5+x^2/x+1

Ответы

Ответ дал: irinan2014
0
Всё подробно написала в решении...
Приложения:
Ответ дал: Berkut123
0
Там б) не так записано)
Вас заинтересует