При каких значениях K прямая y=kx-4 имеет с параболой y=x^2 только одну общую точку? Если можно, напишите подробное решение.
Ответы
Ответ дал:
0
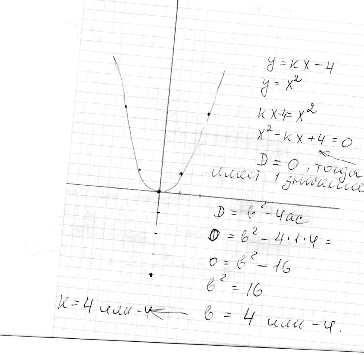
y=kx-4
y=x^2
x^2=kx-4
x^2-kx+4=0
D=0. D=k^2 - 4*4= k^2 - 16=0; k^2=16
k= -4; 4
Ответ дал:
0
они имеют одну общую точку,значит
y=kx-4 равен y=x^2 дальше во вложении
Приложения:

Вас заинтересует
2 года назад
8 лет назад
8 лет назад
10 лет назад
10 лет назад
10 лет назад