• Предмет: Алгебра
  • Автор: NoXteR
  • Вопрос задан 11 лет назад

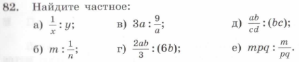
Алгебра. Найдите частное.

Приложения:

Ответы

Ответ дал: nargizochka1999
0

а) 1        б)      2         в)           2            г) 1а      д) 1а           у) 2pq

  __              m               3(a*a)                  ___       ____

  xy                             __________              9          2а*d

                                         9

Ответ дал: жгучийбублик
0

а. 1/ху

б. mn

в. a^2/3

г. а/9

д. а/с^2d

е. p^2q^2

 

Вас заинтересует