Ответы
Ответ дал:
0
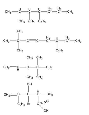
а гекс-2-ен
б 5-метилгекс-2,5-диен
в 2,2,7-триметилоктан
г 2-хлорбут-2-ендиовая кислота
б 5-метилгекс-2,5-диен
в 2,2,7-триметилоктан
г 2-хлорбут-2-ендиовая кислота
Приложения:
Вас заинтересует
3 года назад
3 года назад
8 лет назад
8 лет назад
11 лет назад
11 лет назад
11 лет назад