• Предмет: Химия
  • Автор: Galya18
  • Вопрос задан 11 лет назад

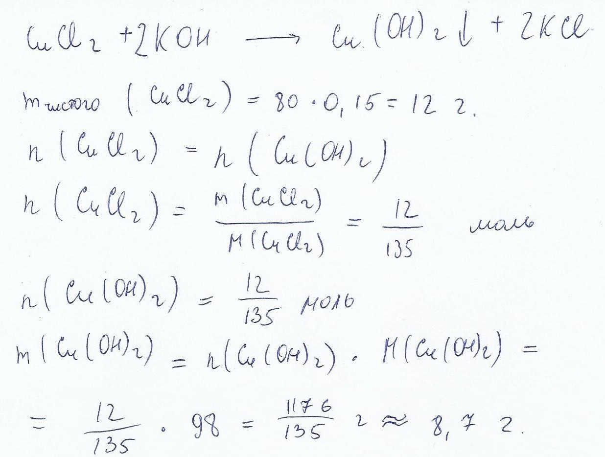
Помогите пожалуйста решить задачу.К 80 г  15%-ного раствора хлорида меди(2) прилили избыток раствора гидроксида калия. Рассчитайте массу образовавшегося осадка.

Ответы

Ответ дал: Нау4пок
0

Решение во вложении.

Приложения:
Вас заинтересует