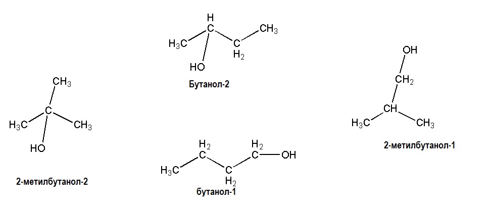
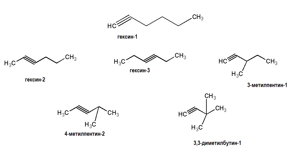
Составить изомеры,всех видов,которые только возможны для бутанол-2;гексин-1;1,2-диметилциклопентан
Ответы
Ответ дал:
0
Все возможные изомеры представлены ниже:
Приложения:



Вас заинтересует
2 года назад
2 года назад
8 лет назад
8 лет назад
10 лет назад
10 лет назад
10 лет назад