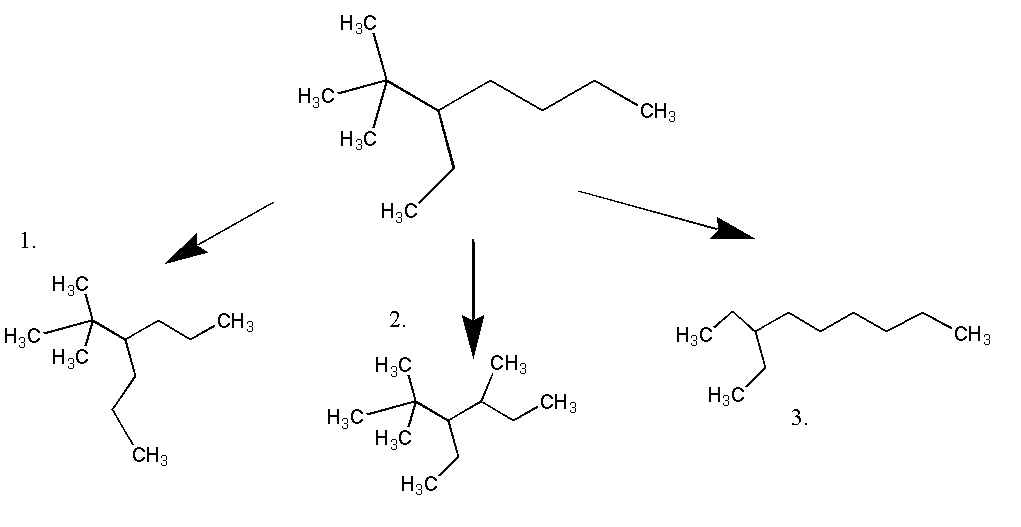
Складіть структурні формули 3-етил-2,2-диметилгептану та трьох його ізомерів,назвіть ці сполуки.
Ответы
Ответ дал:
0
1. 2,2-диметил-3-пропилгексан
2. 2,2,3-триметил-3-этилгексан
3. 3-этилнонан
Приложения:

Вас заинтересует
2 года назад
10 лет назад