• Предмет: Алгебра
  • Автор: rbw404
  • Вопрос задан 11 лет назад

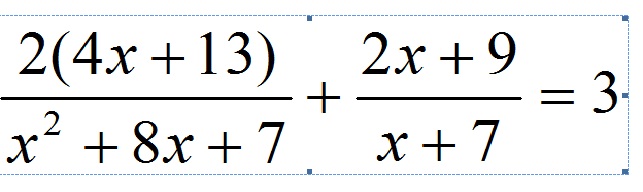
Нужно вот еще это решить короче 

Приложения:

Ответы

Ответ дал: triolana
0

===================================================

Приложения:
Вас заинтересует