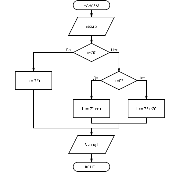
Составить блок-схему для нахождения значения функции
7х, если х < 0
f = 7х + a,b, если х = о
7х - 20, если х < 0
Ответы
Ответ дал:
0
Блок-схема во вложении....
Приложения:
Вас заинтересует
3 года назад
3 года назад
8 лет назад
8 лет назад
11 лет назад
11 лет назад
11 лет назад