• Предмет: Алгебра
  • Автор: TheNaik
  • Вопрос задан 11 лет назад

ПОМОГИТЕ

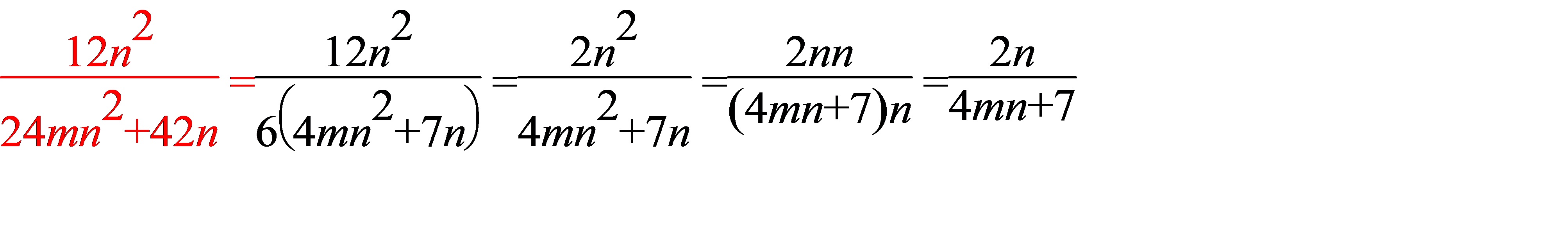
СОКРАТИТЕ ДРОБЬ

Приложения:

Ответы

Ответ дал: triolana
0

==========================================

Приложения:
Вас заинтересует