Ответы
Ответ дал:
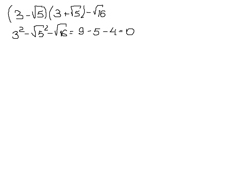
0
----------------------------
Приложения:

Вас заинтересует
7 лет назад
7 лет назад
10 лет назад
10 лет назад