Ответы
Ответ дал:
0
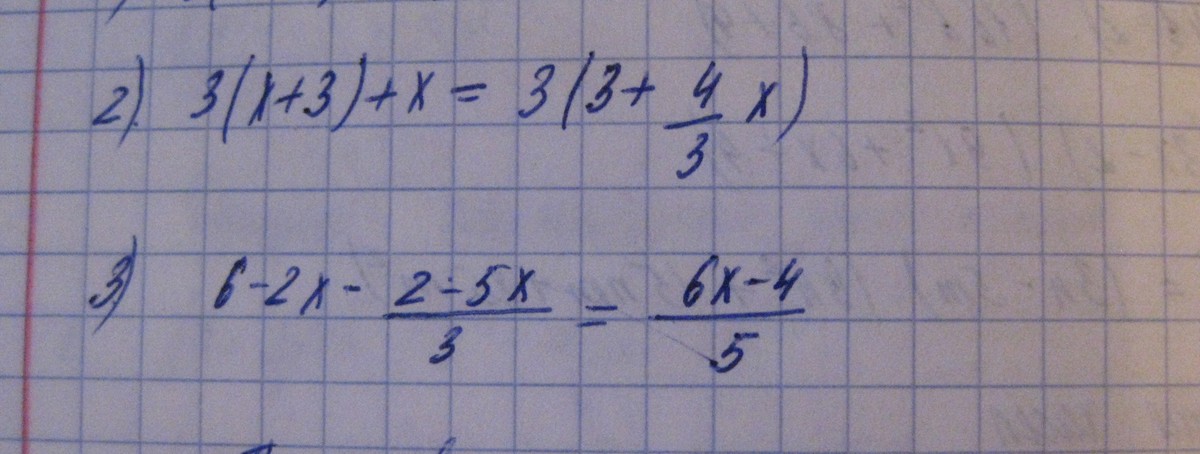
2)3 (х+3)+х=3(3+4/3х)
3х+9+х=9+4х
3х+х-4х=9-9
0=0
3) 6-2х-2-5х/3=6х-4/5 /×15
90-30х-(2-5х)×5=3 (6х-4)
90-30х-(10-25х)=18х-12
90-30х-10+25х=18х-12
-30х+25х-18х=-12-90+10
-23х=92/÷(-23)
х=-4
3х+9+х=9+4х
3х+х-4х=9-9
0=0
3) 6-2х-2-5х/3=6х-4/5 /×15
90-30х-(2-5х)×5=3 (6х-4)
90-30х-(10-25х)=18х-12
90-30х-10+25х=18х-12
-30х+25х-18х=-12-90+10
-23х=92/÷(-23)
х=-4
Вас заинтересует
3 года назад
8 лет назад
10 лет назад
10 лет назад
11 лет назад