Ответы
Ответ дал:
0
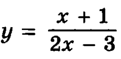
для того, чтобы найти функцию обратной данной, надо х выразить через у:
2ху-3у = х+1
2ху-х=1+3у
х(2у-1)=1+3У
Х= (1+3У) (2У-1)
ИЛИ
У = (1+3Х) (2У-1) - ПОЛУЧИЛИ ФУНКЦИЮ ОБРАТНУЮ ДАННОЙ
2ху-3у = х+1
2ху-х=1+3у
х(2у-1)=1+3У
Х= (1+3У) (2У-1)
ИЛИ
У = (1+3Х) (2У-1) - ПОЛУЧИЛИ ФУНКЦИЮ ОБРАТНУЮ ДАННОЙ
Вас заинтересует
2 года назад
10 лет назад
10 лет назад
11 лет назад