Ответы
Ответ дал:
0
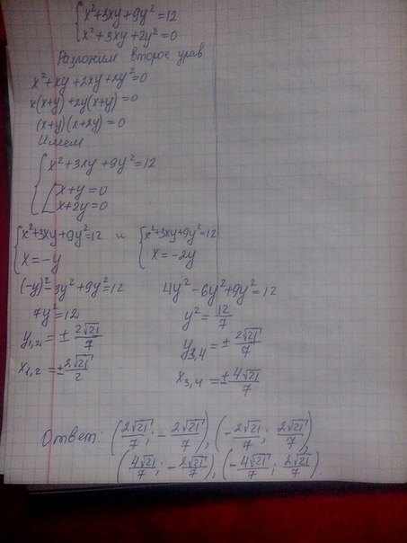
х²+3ху+9у²=12
х²+3ху+2у²=0
х²+2ху+ху+2у²=0
(х²+ху)+(2ху+2у²)=0
х*(х+у)+2у*(х+у)=0
(х+у)*(х+2у)=0
тогда
х²+3ху+9у²=12
х+у=0
х+2у=0
Решаем в две системы,то есть
а)х²+3ху+9у²=12
х+у=0
х²+3ху+9у²=12
х=-у
(-у)²+3у*(-у)+9у²=12
у²-3у²+9у²=12
-2у²+9у²=12
7у²=12
у²=127
у1=√127
у2=-√127
найдем х
1)х=-у
у=√127
х=-√127=-√4*37=-2*√(37)
2)х=-у
у=-√127
х=√127=√4*37=2*√37
б)х²+3ху+9у²=12
х+2у=0
х=-2у
х²+3ху+9у²=12
(-2у)²+3у*(-2у)+9у²=12
4у²-6у²+9у²=12
-2у²+9у=12
7у²=12
у²=127
у1=√127
у2=-√127
Найдем х
1)х=-2у
у1=√127
х=-2*√127=-2*√4*37=-2*2√37=-4*√37
2)х=-2у
у2=-√127
х=-2*(-√127)=2*√127=2*√4*37=2*2√37=4*√37
Ответ------- (-4*√37, √127) или (4*√37,-√127)
(-2*√(37), √127) или (2*√37,-√127)
Ответ дал:
0
,,,,,,,,,,,,,,,,,,,,,,,,,,,,,,,,,,,,,,,,,,,,,,,,,,,,,,,,,,,,
Приложения:

Ответ дал:
0
А откуда 7у в кв=12,у=корень кв из 427?
Вас заинтересует
2 года назад
7 лет назад
7 лет назад
10 лет назад
10 лет назад
10 лет назад