Ответы
Ответ дал:
0
=====================================================
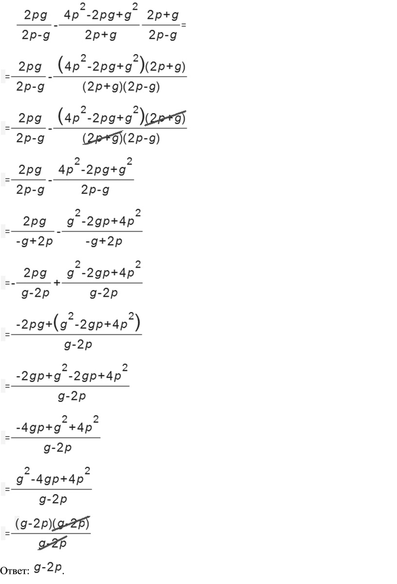
Приложения:

Ответ дал:
0
Решение смотри во вложении..........
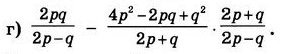
Приложения:

Вас заинтересует
2 года назад
2 года назад
8 лет назад
8 лет назад
10 лет назад
10 лет назад