6.А) Постройте график
функции у=2х-2.
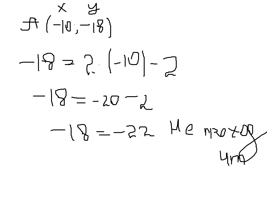
Б) Определите , проходит ли график функции
через точку А(-10;-18) ?
Ответы
Ответ дал:
0
не проходит график у=2х-2 через точку А(-10 и -18)
Приложения:

Вас заинтересует
7 лет назад
7 лет назад
10 лет назад
10 лет назад