Ответы
Ответ дал:
0
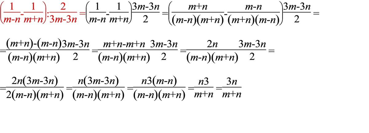
m+n-m+n 3(m-n) 2n*3(m-n) 3n
--------------- *------------= ----------------------=-------------
(m-n)(m+n) 2 2(m-n)(m+n) m+n
Ответ дал:
0
================================================
Приложения:

Вас заинтересует
2 года назад
2 года назад
8 лет назад
8 лет назад
10 лет назад
10 лет назад
10 лет назад