• Предмет: Алгебра
  • Автор: mrsmail97
  • Вопрос задан 10 лет назад

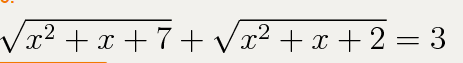
помогите, пожалуйста, решить эти два примера 

Приложения:

Ответы

Ответ дал: Evklid61
0
Желаю успехов в учебе!
Приложения:
Вас заинтересует