• Предмет: Алгебра
  • Автор: UUU12
  • Вопрос задан 10 лет назад

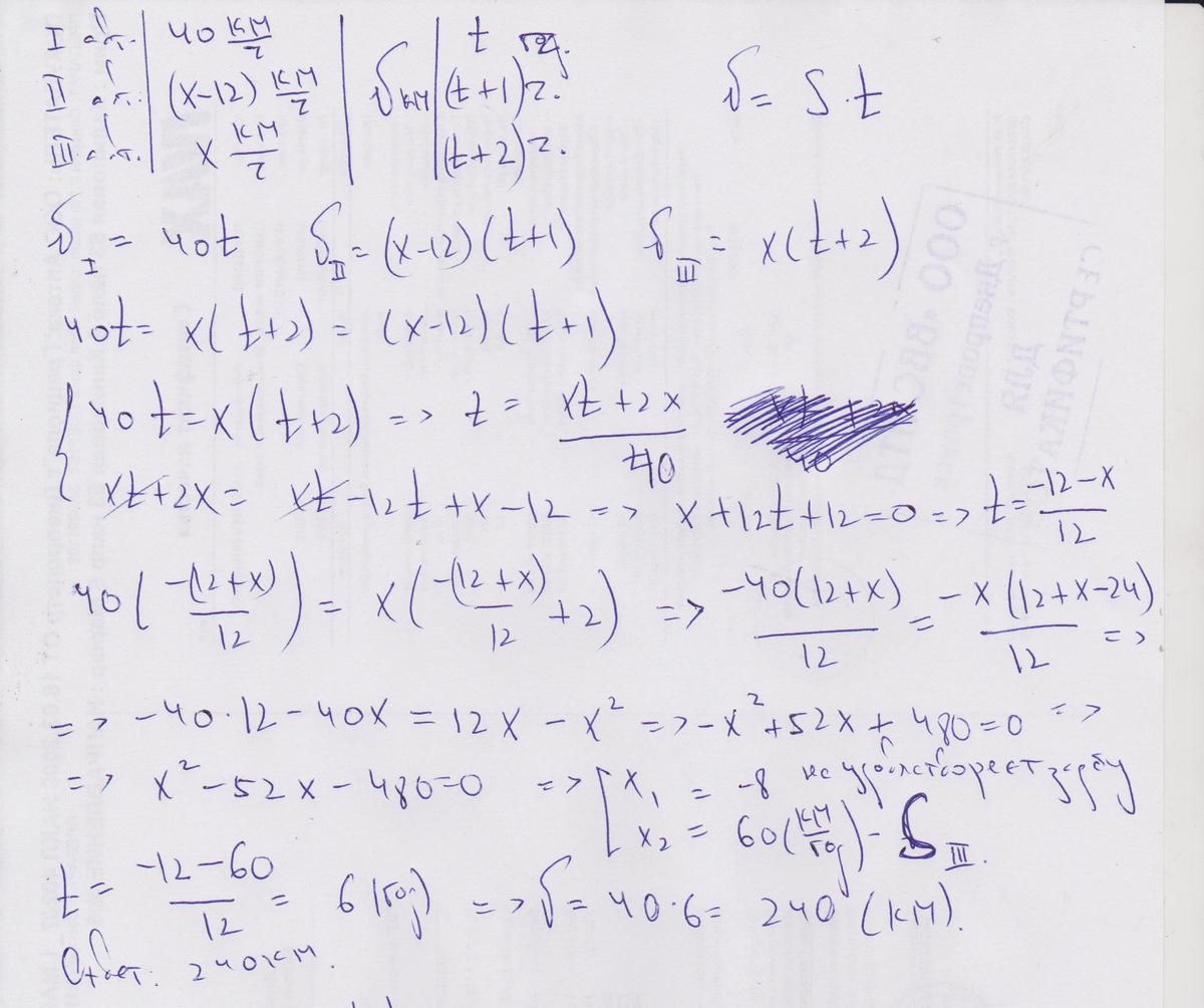
Из пункта А с интервалом в 1 час выехали три автомобиля, которые одновременно прибыли в конечный пункт В. Скорость первого автомобиля 40 км/ч, а скорость второго автомобиля на 12 км/ч меньше, чем скорость третьего. Найдите расстояние между пунктами А и В.

Ответы

Ответ дал: philadelphiaex
0
Решение во вложении.
Ответ: 240 км.
Приложения:
Вас заинтересует