• Предмет: Математика
  • Автор: aleksandra5613
  • Вопрос задан 10 лет назад

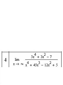
помогите найти предел

Приложения:

Ответы

Ответ дал: bearcab
0
Смотри во вложении. Должно быть понятно.
Приложения:
Ответ дал: aleksandra5613
0
спасибо огромное!!! отмечу как лучший. А можешь еще 1 мое задание посмотреть?
Вас заинтересует