• Предмет: Математика
  • Автор: aleksandra5613
  • Вопрос задан 10 лет назад

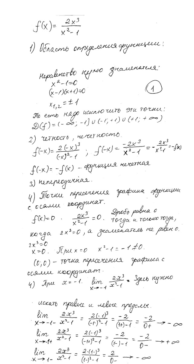
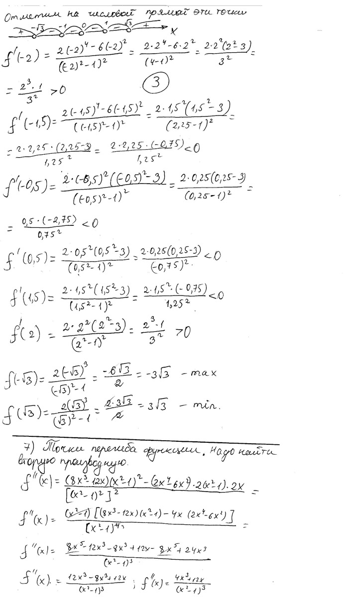
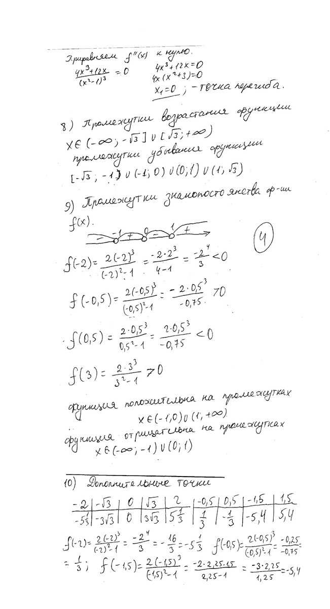
Исследуйте функцию и постройте ее график.

Приложения:

Ответы

Ответ дал: bearcab
0
Решение смотри во вложениях. Должно быть понятно
Приложения:
Вас заинтересует