Решить алгебру.Помогите пожалуйста.
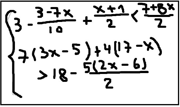
Найдите наименьшее целое число удовлетворяющее системе неравенств.ПОЖАЛУЙСТА ПОМОГИТЕ.
Приложения:

Ответы
Ответ дал:
0
...................................................
Приложения:

Вас заинтересует
2 года назад
2 года назад
8 лет назад
8 лет назад
10 лет назад
10 лет назад