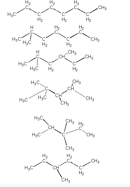
н.октан 2метилгептан 2,4диметилгексан 2,5диметилгексан 2,3,4тетраметилпентан 2,3,3тетраметилпентан 3,5метилгексан
Ответы
Ответ дал:
0
Ты гонишь с меня?)) Думаешь мне делать нех тебе это писать весь вечер?
Цифры - порядковый номер группы CH;
Ди, три, тетра... - это кол-во одноименных ответвленных соединений;
Пентан - кол-во соединений CH, пентан - 5 например...
Пиши. Что сложного?
Ответ дал:
0
Вещества записаны по-порядку:
Приложения:

Вас заинтересует
2 года назад
2 года назад
10 лет назад
10 лет назад
10 лет назад