• Предмет: Алгебра
  • Автор: victoriak9
  • Вопрос задан 11 лет назад

Помогите решить системы уравнений :

1 система : { xy-2(x+y)=2 ,

                    xy+x+y=29

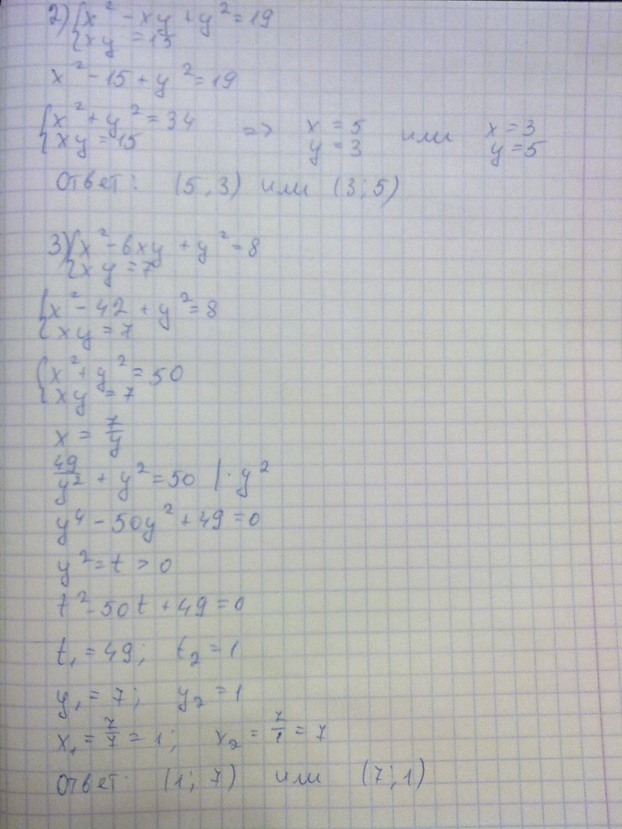
2 система : { x²-xy+y²=19

                    xy=15

3 система : { x²-6xy+y²=8

                    xy=7


поооожалуйста,хотя бы одну систему помогите решить:( 

Ответы

Ответ дал: LightAngel
0

..................................................................

Приложения:
Вас заинтересует