• Предмет: Алгебра
  • Автор: Wenorg
  • Вопрос задан 10 лет назад

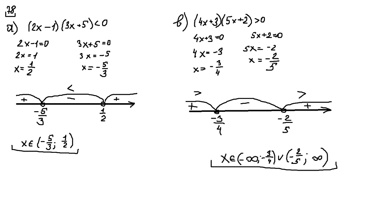
Решите неравенство | №78
а) (2x - 1) (3x + 5) < 0
в) (4x + 3) (5x + 2) > 0
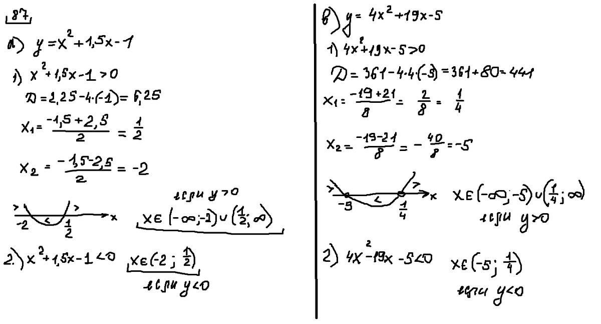
Укажите все значения х, при каждом из которых функция | №87 (1) столбик
а) у = х в квадрате + 1,5х - 1
в) у = 4х в квадрате + 19х - 5
д) у = - 2х в квадрате + 5х + 3

Ответы

Ответ дал: Soulfly1
0
...................................
Приложения:
Ответ дал: Wenorg
0
Спасибо большое!
Вас заинтересует