• Предмет: Геометрия
  • Автор: Hardtam
  • Вопрос задан 11 лет назад

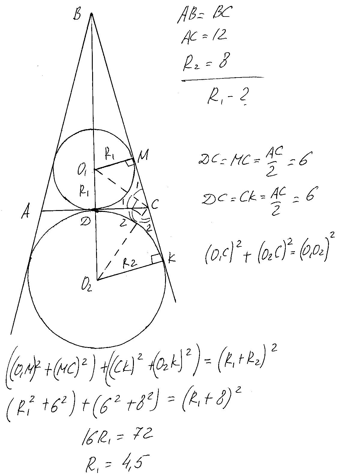
Основание АС равнобедренного треугольника равно 12. Окружность радиуса 8 с центром вне этого треугольника касается продолжения боковых сторон треугольника и касается АС в его середине . Найдите радиус окружности вписанной в треугольник АВС

Ответы

Ответ дал: Fatter
0

Обозначим треугольник АВС(смотри рисунок). Проведём радиусы О1М и О2К к боковой стороне. Треугольники О1МС и О1ДС равны по катету равному R1 и гобщей гипотенузе О1С. Аналогично равны треугольники О2ДС и О2СК. Отсюда МС=6 и СК=6. Также будут равны О1СМ=О1СД=угол1 и О2СД и О2СК=угол 2. Но угол1+угол1+угол2+угол2=180 или 2(угол1+угол2)=180. Отсюда угол1+угол2=90. А это есть угол  О1СО2. То есть треугольник О1СО2-прямоугольный. По теореме Пифагора находим R1=4,5. Кстати для заданных условий угол О1СО2 всегда будет равен 90 градусов при любых R1 и R2.

Приложения:
Вас заинтересует