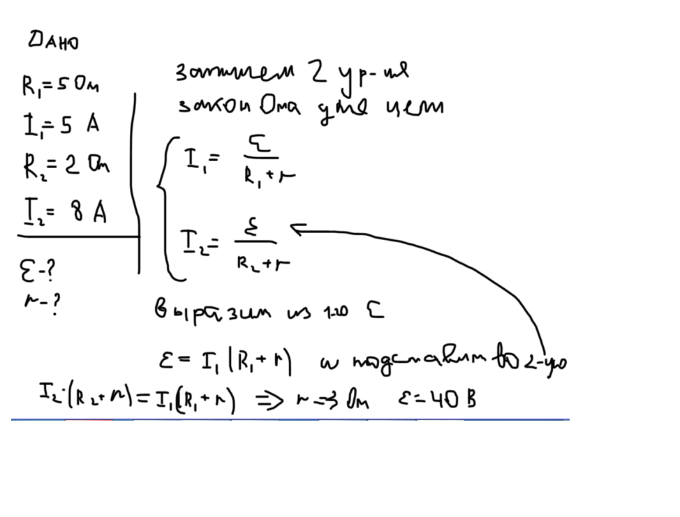
ЖЕЛАТЕЛЬНО НАПИСАТЬ КАК ПРАВИЛЬНО ЗАПИСАТЬ ДАНО!При подключении к источнику тока реостата сопротивлением 5 Ом сила тока в цепи была 5 А, при сопротивлении реостата 2 Ом сила тока стала 8 А. Определите внутреннее сопротивление и ЭДС источника тока.
Ответы
Ответ дал:
0
Смммммммммммммоооооооооотттттттттттттттттрррррррррррррииииииииииии в прррррррииииилллоооооооооожжжжжжжеееееееееенннннниииии Извиняюсь за почерк.
Приложения:

Вас заинтересует
2 года назад
2 года назад
7 лет назад
10 лет назад
10 лет назад
10 лет назад