• Предмет: Алгебра
  • Автор: alisalisa24
  • Вопрос задан 10 лет назад

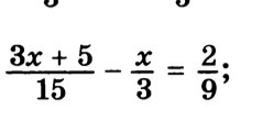
Помогите плииз, очень надо. х- это какое число?

Приложения:

Ответы

Ответ дал: slawk
0
бщий знаменатель равняется 45, потому что на него свободно делятся все знаменатели (пишу сокращенно и сразу с решением, так как мне влом всё расписывать)
3(3x+5)-15x=5*2
9x+15-15x=10
-6x=10-15
-6x=-5
x= frac{5}{6}
Ответ дал: alisalisa24
0
хорошо
Вас заинтересует