Ответы
Ответ дал:
0
Ответ дал:
0
Просил:
Фото ниже решыте на листочке и пришлите фото!
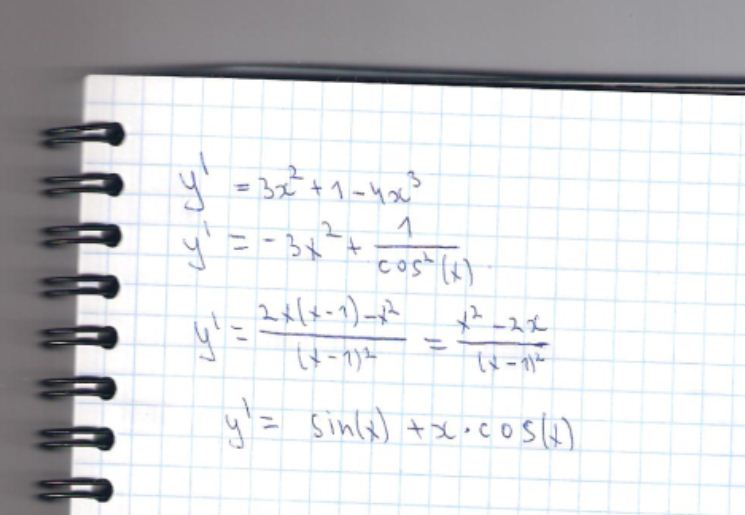
Смотри в приложенных файлах(скрин тетрадки)
Фото ниже решыте на листочке и пришлите фото!
Смотри в приложенных файлах(скрин тетрадки)
Приложения:

Вас заинтересует
2 года назад
2 года назад
7 лет назад
7 лет назад
10 лет назад
10 лет назад