Ответы
Ответ дал:
0
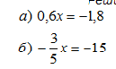
a) 0.6x=-1.8
x=-1.8:0.6=-3
б)


15 и 3 сокращаются
ответ 25
x=-1.8:0.6=-3
б)
15 и 3 сокращаются
ответ 25
Ответ дал:
0
а что редактируешь то так не честно, умник
Ответ дал:
0
хорошо, умница
Ответ дал:
0
1) х = -1,8:0,6
х = - 3
2)х = - 15:-3/5
х = -15*-5/3
х = 25
х = - 3
2)х = - 15:-3/5
х = -15*-5/3
х = 25
Вас заинтересует
3 года назад
3 года назад
8 лет назад
11 лет назад
11 лет назад