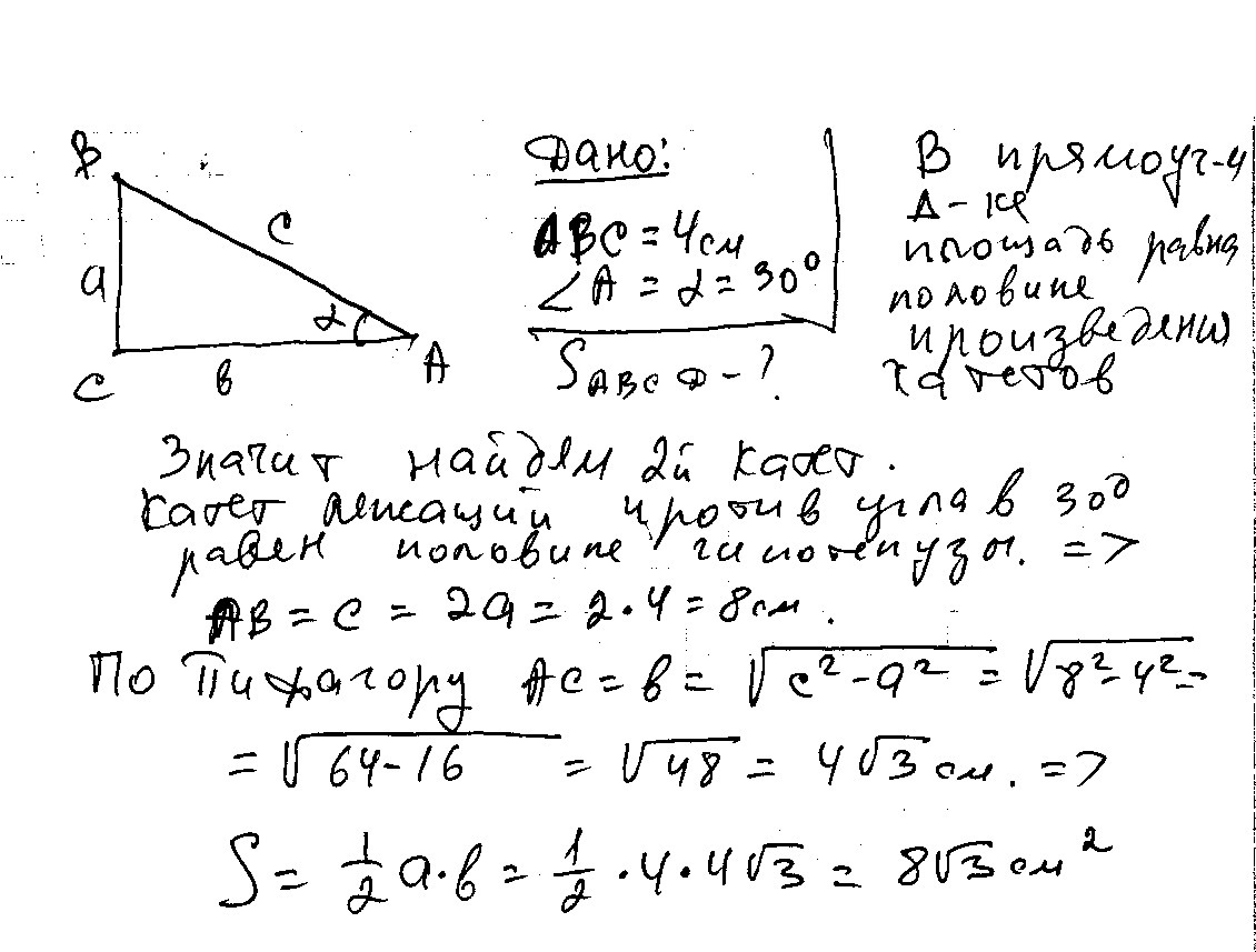
Найти площадь прямоугольного треугольника ABC, у которого AB-гипотенуза, катет CB=4см, а угол A=30°
Ответы
Ответ дал:
0
Найти площадь прямоугольного треугольника ABC, у которого AB-гипотенуза, катет CB=4см, а угол A=30°
Приложения:

Вас заинтересует
2 года назад
7 лет назад
10 лет назад
10 лет назад