Ответы
Ответ дал:
0
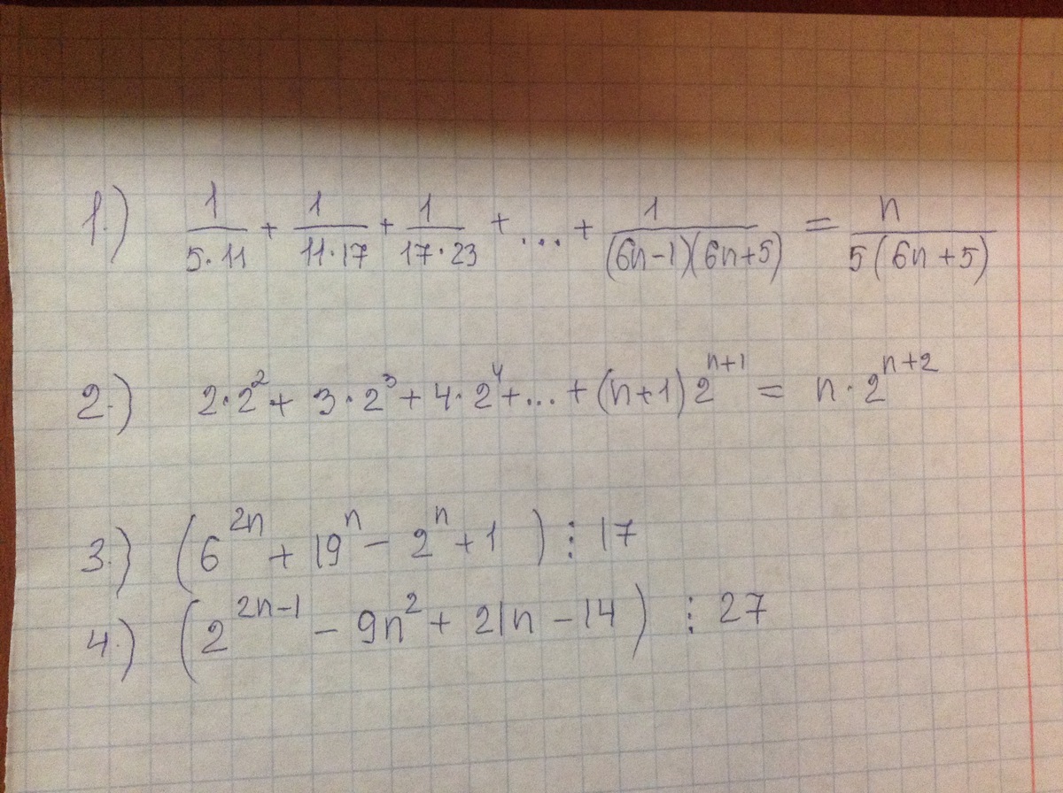
Итак, докажем первое тождество.
1)Первый шаг - докажем базу индукции.
Проверим тождество при n = 1. Подставляем n = 1 и получаем
1/(5 * 11) = 1/5 * 11 - верное равенство.
Итак, при n = 1 тождество выполняется.
2) Предположим, что это тождество верно для n = k. Докажем в этом предположении индукционный переход: что оно верно при n = k+1.
При n = k тождество имеет вид:
1/(5*11) + 1/(11*17) + 1/(17*23) + ... + 1/(6k-1)(6k+5) = k/5(6k+5)
Распишем тождество при n = k+1. И сделаю при этом следующее: я напишу предыдущий член суммы в левой части, сейчас поймёте, почему.
1/(5*11) + 1/(11*17) + 1/(17*23) + ... + 1/(6k-1)(6k+5) + 1/(6k+6-1)(6k+6+5) = k/5(6k+6+5)
Здесь всё просто, я просто подставил n = k+1, раскрыл скобки, ну и кроме того написал k-ый член разложения в сумму.
Теперь замечаем. Посмотрите, что стоит у нас слева в последнем равенстве! Приглядитесь, сумма кроме последнего члена равна k/5(6k+5)!!!
Если не очевидно сразу, то позже будет очевидно. Ну и раз мы знаем эту сумму, то подставим её, а k+1 слагаемое перепишу.
k/5(6k+5) + 1/(6k+6-1)(6k+6+5) = (k+1)/5(6k+6+5)
Осталось лишь преобразовать левую часть к виду правой.
1)Первый шаг - докажем базу индукции.
Проверим тождество при n = 1. Подставляем n = 1 и получаем
1/(5 * 11) = 1/5 * 11 - верное равенство.
Итак, при n = 1 тождество выполняется.
2) Предположим, что это тождество верно для n = k. Докажем в этом предположении индукционный переход: что оно верно при n = k+1.
При n = k тождество имеет вид:
1/(5*11) + 1/(11*17) + 1/(17*23) + ... + 1/(6k-1)(6k+5) = k/5(6k+5)
Распишем тождество при n = k+1. И сделаю при этом следующее: я напишу предыдущий член суммы в левой части, сейчас поймёте, почему.
1/(5*11) + 1/(11*17) + 1/(17*23) + ... + 1/(6k-1)(6k+5) + 1/(6k+6-1)(6k+6+5) = k/5(6k+6+5)
Здесь всё просто, я просто подставил n = k+1, раскрыл скобки, ну и кроме того написал k-ый член разложения в сумму.
Теперь замечаем. Посмотрите, что стоит у нас слева в последнем равенстве! Приглядитесь, сумма кроме последнего члена равна k/5(6k+5)!!!
Если не очевидно сразу, то позже будет очевидно. Ну и раз мы знаем эту сумму, то подставим её, а k+1 слагаемое перепишу.
k/5(6k+5) + 1/(6k+6-1)(6k+6+5) = (k+1)/5(6k+6+5)
Осталось лишь преобразовать левую часть к виду правой.
Ответ дал:
0
я понял это уже
Ответ дал:
0
Угу.
Вас заинтересует
3 года назад
3 года назад
8 лет назад
8 лет назад
11 лет назад