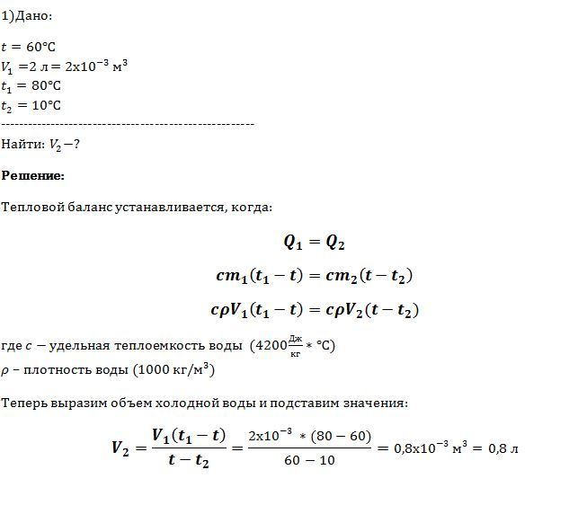
1)Чтобы охладить до 60 градусов 2 литра воды,взятой при темпиратуре 80 градусов , в нее добавили холодную воду , темпиротура которая 10 градусов.С колько литров холодной воды требуеться добавить? )В воду с темпиратурой 20 градусов влили ртуть,масса которого равна массе воды.Опредилите начальную температуру ртути,если темпиратура стала 21 градус. 3)Сколько грамов древесного угля надо сжечь в самоваре, ёмкость которого 5 литров, чтобы нагреть в нём воду от 20 до 100 градусов? Учесть, что только 25% выделяемой энергии расходуется на нагревание.
Ответы
Ответ дал:
0
Решение во вложении:
Приложения:
Вас заинтересует
3 года назад
3 года назад
8 лет назад
8 лет назад
11 лет назад
11 лет назад
11 лет назад