• Предмет: Алгебра
  • Автор: Ксюхахаха
  • Вопрос задан 10 лет назад

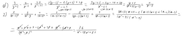
Помогите пожалуйста решить! Срочно надо 8 класс!Заранее спасибо

Приложения:

Ответы

Ответ дал: Shomr
0
Я слишком ленив для последнего. 
Приложения:
Вас заинтересует