• Предмет: Алгебра
  • Автор: осободорённый
  • Вопрос задан 10 лет назад

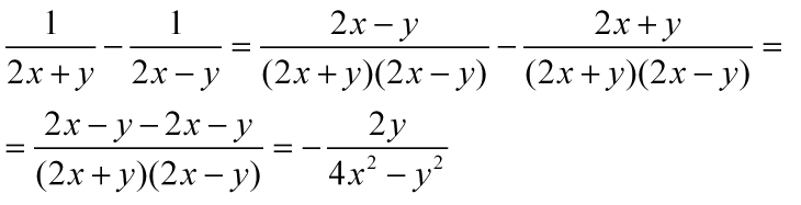
помогите представить в виде дроби 12x+y - 1/2x-y

Ответы

Ответ дал: Pyaterkin
0
Решение во вложении.
Приложения:
Вас заинтересует