Ответы
Ответ дал:
0
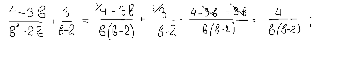
Решение в приложенном файле
Приложения:

Ответ дал:
0
чё,сам писал?
Вас заинтересует
2 года назад
7 лет назад
7 лет назад
10 лет назад
10 лет назад
10 лет назад