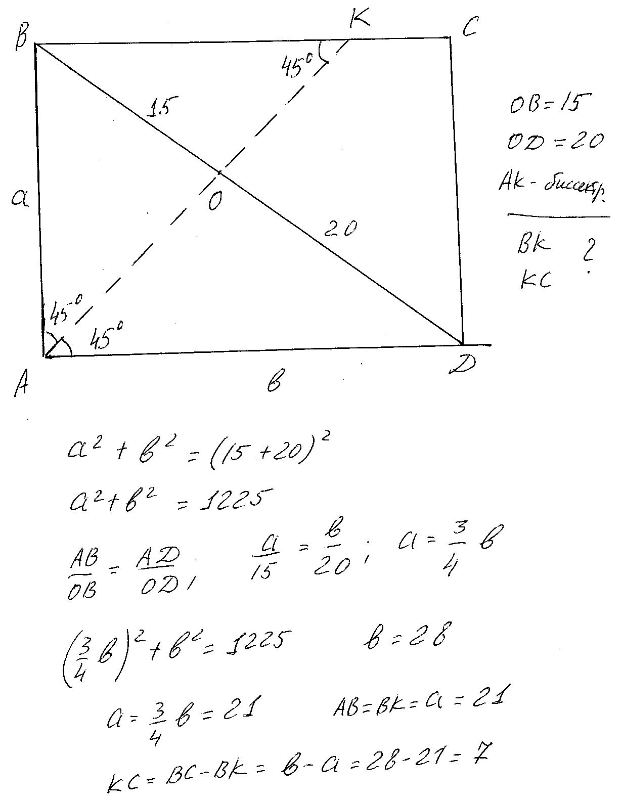
Биссектриса угла прямоугольника делит его диагональ на отрезки 15 см и 20 см, считаю от ближайшей к данному углу вершины. Найдите отрезки на которые эта биссектриса делит сторону прямоугольника.
Ответы
Ответ дал:
0
Обозначим прямоугольник АВСД. АК-биссектриса. Пусть АВ=а, АД=в. Используем теорему Пифагора и свойство биссектрисс. Треугольник АВК-равнобедренный, поскольку углы КАД и ВКА равны как накрест лежащие. Ответ ВК=21, КС=7.
Приложения:

Вас заинтересует
2 года назад
8 лет назад
8 лет назад
10 лет назад
10 лет назад
10 лет назад