Ответы
Ответ дал:
0
2y+4=-3y+3; 2y+3y=-4+3; 5y=-1; y=-0.2
Ответ дал:
0
это второе
Ответ дал:
0
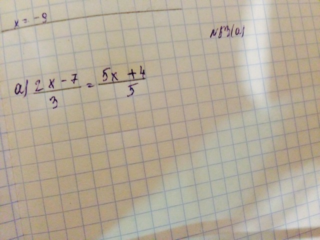
а) методом креста
(2х-7)5=3(5х+4)
10х-35=15х+12
10х-15х=35+12
-5х=47
х=9,4
б)2(у+2)=-3(у-1)
2у+4=-3у+3
2у+3у=3-4
5у=-1
у=-0,2
(2х-7)5=3(5х+4)
10х-35=15х+12
10х-15х=35+12
-5х=47
х=9,4
б)2(у+2)=-3(у-1)
2у+4=-3у+3
2у+3у=3-4
5у=-1
у=-0,2
Вас заинтересует
3 года назад
3 года назад
8 лет назад
10 лет назад
10 лет назад
11 лет назад