Ответы
Ответ дал:
0
...................................
Приложения:
Ответ дал:
0
Да!
Ответ дал:
0
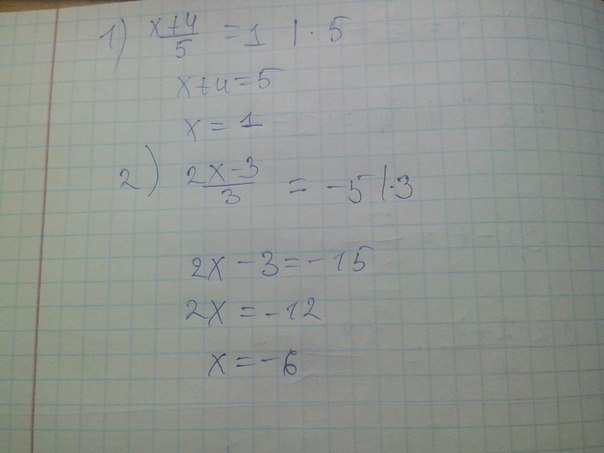
1)Переносим все в одну часть, далее общий знаменатель 5 и получаем:
x-4-5/5=0
x-9/5=0
x=9
2) Аналогично: только общий знаменатель 3,
2x-3+15/3=0
2x+12=0
2x=-12
x=-6
x-4-5/5=0
x-9/5=0
x=9
2) Аналогично: только общий знаменатель 3,
2x-3+15/3=0
2x+12=0
2x=-12
x=-6
Приложения:
Вас заинтересует
3 года назад
3 года назад
8 лет назад
8 лет назад
11 лет назад
11 лет назад