• Предмет: Алгебра
  • Автор: mrsmail97
  • Вопрос задан 10 лет назад

помогите решить, пожалуйста. срочно  

Приложения:

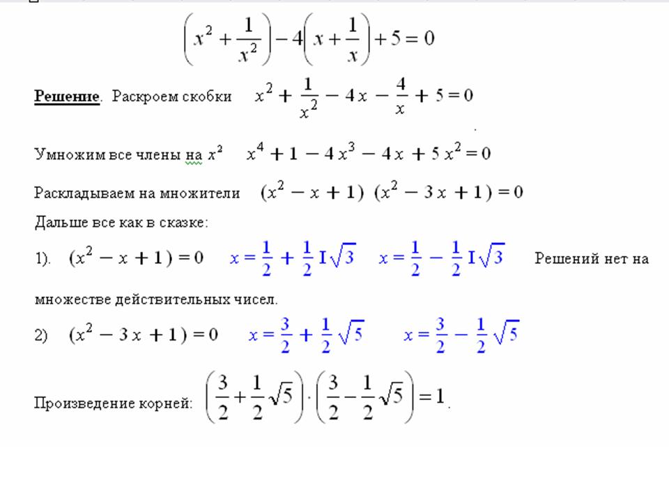
Ответы

Ответ дал: Evklid61
0
Желаю успехов в учебе!

Приложения:
Вас заинтересует