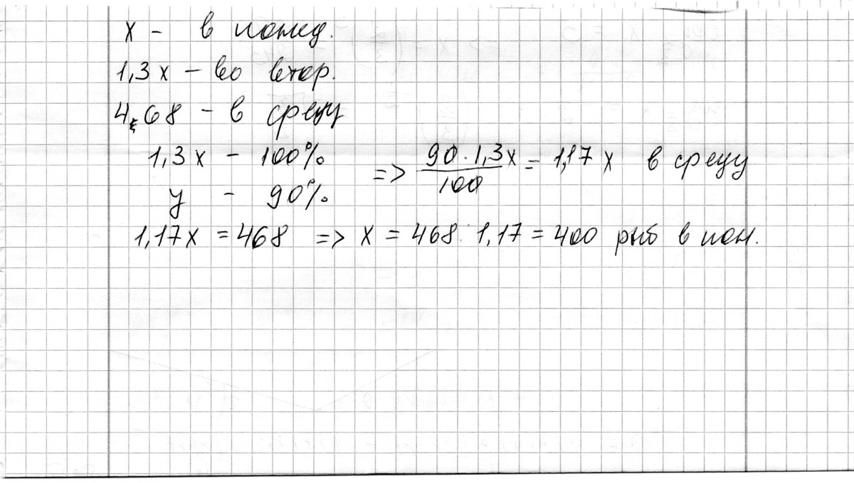
Рыбаки во вторник наловили рыб на 30% больше, чем в понедельник. В среду они наловили 468 рыб, что на 10% меньше, чем во вторник. Сколько рыб наловили в понедельник?
Решите пожалуйста;))))))))
Ответы
Ответ дал:
0
решил)))))))))))))))))))))))))))))))))))))))))))))))))
Приложения:

Ответ дал:
0
тут надо составить пропорцию
% рыба
13 100
x 90
Решаем крест на крест:
100x=90*1,3
100x=117
x=1,17 (р)- наловили в среду
2) 468:1,17=400 (р) - наловили в понедельник
Приложения:

Вас заинтересует
8 лет назад
10 лет назад