• Предмет: Математика
  • Автор: torrs11
  • Вопрос задан 11 лет назад

Решить уравнения комбинаторики

Приложения:

Ответы

Ответ дал: Аноним
0

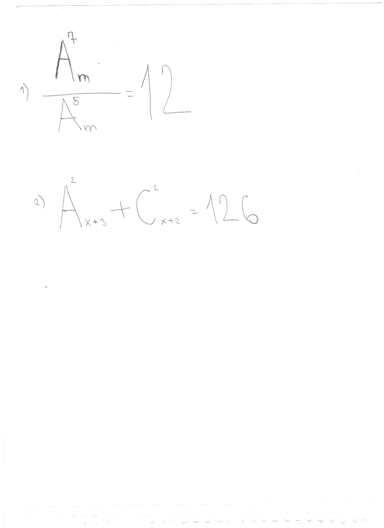
1)

A(7/m)        /    A(5/m)        =12

m!/(m-7)!    /   m!/(m-5)!    =12

m! (m-5)!    /    m!/(m-7)!     =12 

(m-5)!   =(m-7)!(m-6)(m-5)   

m! (m-7)!    (m-6)(m-5)   /    m!/(m-7)!     =12

сократим  одинаковые члены

 (m-5)(m-6)=12

Перемножаем скобки

Получается квадратное уравнение

m^2-11m+18=0

преобразуем

m^2 – 9m   -2m+18 = 0

m(m-9) -2(m-9)=0

(m-9)(m-2)=0

или (m-2)=0    m1=2

или (m-9)=0    m2=9

 

Ответ  2  ; 9

 

2)

A(2/x+3) +C(2/x+2)=126

(x+3)!/(x+3-2)!  +(x+2)!/((x+2-2)!2!)=126

(x+3)!/(x+1)!  +(x+2)!/(x!2)=126

(x+2)(x+3)  + (x+1)(x+2)/2=126

((x+2)(x+3)  + (x+1)(x+2)/2 )  *2=126  *2

(x+2)(2(x+3) + (x+1)) =252

(x+2)(2x+6 + x+1) =252

(x+2)(3x+7) =252

3x^2+13x+14=252

3x^2+13x-238=0

(x-7)(3x+34)=0

X1=7

X2=-34/3

 

Ответ  7

 

Вас заинтересует