Ответы
Ответ дал:
0
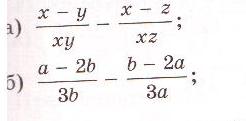
1) (x-y)/(x*y)-(x-z)/(x*z)=(x*z-y*z-x*y+y*z)/(x*y*z)=(x*z-x*y)/(x*y*z)=x*(z-y)/(x*y*z)=
=(z-y)/(y*z)
2) (a-2*b)/(3*b)-(b-2*a)/(3*a)=(a^2-2*a*b-b^2+2*a*b)/(3*a*b)=(a^2-b^2)/(3*ab)=(a+b)*(a-b)/(3*a*b)
Ответ дал:
0
вот так решается эти уравнения)
Приложения:


Вас заинтересует
2 года назад
2 года назад
8 лет назад
8 лет назад
10 лет назад
10 лет назад
10 лет назад