Ответы
Ответ дал:
0
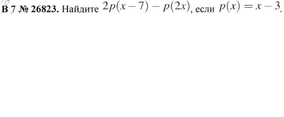
р(х)=х-3
р(х-7)=х-3-7=х-10
р(2х)=2(х-3)=2х-6
2р(х-7)-р(2х)=2(х-10)-(2х-6)=2х-20-2х+6=-14
р(х-7)=х-3-7=х-10
р(2х)=2(х-3)=2х-6
2р(х-7)-р(2х)=2(х-10)-(2х-6)=2х-20-2х+6=-14
Ответ дал:
0
2P ( X - 7 ) - P ( 2X ) = ?
P ( X ) = X - 3
-------------------------
P ( X - 7 ) = X - 3 - 7 = X - 10
2P ( X - 7 ) = 2X - 20
------------------------
P ( 2X ) = 2 * ( X - 3 ) = 2X - 6
-----------------------
2X - 20 - ( 2X - 6 ) = 2X - 20 - 2X + 6 = - 20 + 6 = - 14
-----------------------
Ответ ( - 14 )
P ( X ) = X - 3
-------------------------
P ( X - 7 ) = X - 3 - 7 = X - 10
2P ( X - 7 ) = 2X - 20
------------------------
P ( 2X ) = 2 * ( X - 3 ) = 2X - 6
-----------------------
2X - 20 - ( 2X - 6 ) = 2X - 20 - 2X + 6 = - 20 + 6 = - 14
-----------------------
Ответ ( - 14 )
Вас заинтересует
3 года назад
8 лет назад
8 лет назад
10 лет назад
10 лет назад
11 лет назад